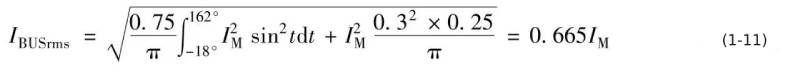
Formula 1-11 Working status of electrolytic capacitors Xuansn2024-01-03T09:04:13+00:00Comments Off on Formula 1-11 Working status of electrolytic capacitors Innovation Keeps Leading, Wisdom Goes Further! FacebookTwitterLinkedInVk About the Author: Xuansn