1 Casting-Rolling Speed

During the continuous casting-rolling process of capacitor foil strip, the crystallization process of the strip is from the surface of the casting roll vertically to the center of the casting-rolling billet along the outlet side to the inlet side. The casting-rolling zone is triangular. As the casting-rolling rolls rotate continuously, the heat is continuously taken out by the cooling water from the surface of the casting rolls vertically, and the isothermal surface consistent with the liquidus gradually moves into the depth of the melt. For alloys with a certain crystallization temperature range, this isothermal surface is equivalent to the crystallization start surface. The isothermal surface equivalent to the temperature of the unbalanced solidus line is the crystallization end surface. The area contained between the crystallization start surface and the crystallization end surface is composed of liquid and solid phases and is called the two-phase zone. Therefore, there are always three regions at the casting front: liquid phase zone, two-phase zone and solid phase zone. As mentioned above, the solid phase area is the rolling area, and the ratio of the rolling area to the casting and rolling area is about (0.7~0.85):1. A ratio less than or greater than this ratio may destroy the stability of the casting and rolling, forcing the casting and rolling to terminate. Therefore, we must first understand the solidification characteristics of the melt and master the solidification time of the melt.

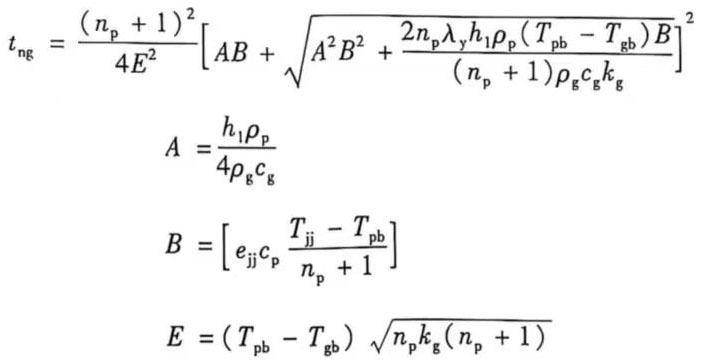
1.1 Calculation of strip solidification time

Kuznetsov described the roll temperature field as a quadratic parabola and derived the solution of the differential equation. The calculation result is:

capacitor foil strip           (1)

where h1-cast strip outlet thickness, mm;

Tng-cast strip solidification time, s;

Pp-cast strip density, kg/m3;

Pg-roller sleeve material density, kg/m3;

λy-liquid metal thermal conductivity, kJ/(cm·s·℃);

Cg-specific heat capacity of roller sleeve material, kJ/(kg·℃);

Cp-specific heat capacity of cast strip, kJ/(kg·℃);

np-cast strip temperature distribution index;

Ejj-latent heat coefficient of metal crystallization (mass energy), kJ/kg;

Tpb-cast strip surface temperature, ℃;

Tgb-surface temperature of casting roller entering the casting zone entrance, ℃;

Kg-thermal diffusivity of roller sleeve material, mm2/h;

Tjj-cast strip crystallization temperature, ℃.

1.2 Factors affecting the casting speed

The factors affecting the continuous casting speed of capacitor foil strip include:

(1) The diameter of the casting roll. As the diameter of the roll increases, the time it takes for the casting roll to rotate one circle increases. Under the same rolling speed as the small diameter casting roll, the amount of heat removed per unit time increases. If other conditions remain unchanged, this may cause the casting temperature to be too low, destroying the casting balance. Therefore, the speed should be appropriately increased to maintain a temperature in balance with it.

(2) Cooling intensity. Obviously, as the cooling intensity increases, the amount of heat removed per unit time increases. To maintain a normal casting temperature, the casting speed naturally needs to be increased.

(3) Thermal conductivity of the roll sleeve material and the thickness of the roll sleeve. During casting, most of the heat released when the melt cools down and the latent heat of crystallization released when solidifying are conducted to the cooling water by the roll sleeve. The thermal conductivity of the roll sleeve material is large, and more heat is removed; the thickness of the roll sleeve is thinner, the heat transfer distance is reduced, and more heat is removed per unit time, so the casting speed naturally increases; otherwise, it should be reduced.

Under specific equipment and process conditions, the product of the casting speed and the slab thickness is basically a constant, that is:

capacitor foil strip                                                                                           (2)

wherein υ-the casting speed, m/min;

δ – the slab thickness, mm;

K -the productivity constant.

(4) Casting temperature. When the casting temperature is high, the heat contained in the melt is high, which increases the heat released when the melt reaches the crystallization temperature. If the heat transfer conditions remain unchanged, the heat transfer time needs to be increased, so the casting speed is reduced; otherwise, the casting speed should be increased (see Figure 1).

capacitor foil strip

Figure 1 Solidification of the crystallization front in the casting nozzle when the casting temperature is low

(5) Casting zone. The longer the casting zone, the larger the contact area between the melt and the strip and the casting roller sleeve, and the more heat can be taken away per unit time, so the casting speed increases; otherwise, it decreases (see Figure 2).

(6) Alloy properties. Generally speaking, all alloys have a certain crystallization temperature range, and there is a two-phase coexistence zone of liquid and solid phases. The more complex the alloy composition and the higher the content, the larger the two-phase coexistence zone. The greater the temperature difference between the beginning and the end of crystallization, the faster the casting speed. Under a certain casting and rolling zone length, the length of the casting zone increases and the length of the rolling zone decreases, which will make the ratio of the rolling zone to the casting and rolling zone less than 7/10 and destroy the casting and rolling balance, and even pull the two-phase zone that has not yet been fully crystallized out of the casting and rolling zone, forming a hot zone defect. This is also an important reason why the continuous casting and rolling of capacitor foil strip is still difficult to use in hard alloy series with complex components and large crystallization intervals.

capacitor foil strip

Figure 2 Relationship between casting and rolling zone length and casting and rolling speed

1.3 Determination of casting and rolling speed

The specific determination of the casting and rolling speed should be based on the actual situation of all aspects and comprehensive considerations. Under certain conditions, if the speed is too fast, the rolling zone may be shortened (see Figure 2), the liquid cavity depth may be increased, and horseshoe cracks, plates, hot zones and other depressions may occur; if the speed is too low, the rolling force will be increased, the output will be affected, the rolling balance conditions will be destroyed, the casting will be damaged, and the casting and rolling will be terminated (see Figure 1). Its optimal speed: for standard casting and rolling mill, it is generally 0.7~1.0m/min; for super casting and rolling mill, it is generally 1.1-1.3m/min. Without affecting the product quality, if the allocation is appropriate, the casting and rolling speed of capacitor foil strip during continuous production can be appropriately accelerated.

2 Liquid level of front box

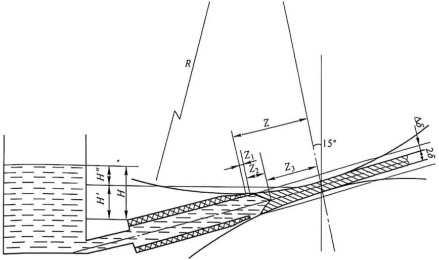
There is a certain gap between the casting nozzle and the roll gap, and the aluminum melt is basically not wetted by the casting nozzle and the roll sleeve. Therefore, the melt forms a curved arc in the gap between the nozzle and the roller, relying on its surface tension, which balances the static pressure generated by the height difference between the liquid surface of the front box melt and the roll gap. For the inclined casting and rolling mill, the additional height difference caused by the tilt must be added (see Figure 3 and Figure 4), and the calculation process is as follows.

capacitor foil strip

Figure 3 Schematic diagram of liquid cavity depth

capacitor foil strip

Figure 4 Schematic diagram of liquid level

Let the liquid level of the front box be H, according to the Bernoulli equation, we get:

capacitor foil strip           (3)

Where σ-surface tension coefficient of aluminum melt;

P-density of aluminum melt;

Rb, Rc-radius of curvature of upper and lower liquid films, which change with the change of liquid level;

υ1-casting speed;

hs-pressure head loss, calculated as follows:

capacitor foil strip                                                                                      (4)

Where ξi –resistance coefficient;

g-gravitational acceleration.

Substitute equation 4 into equation 3 and get:

capacitor foil strip       (5)

From equation 5, it can be seen that H∝υ12, that is, the faster the casting speed, the higher the liquid level of the front box should be; the system resistance increases, and the liquid level must be raised, otherwise there will be defects such as holes and hot spots. From this point of view, the higher the liquid level of the front box, the more conducive to casting and rolling. However, due to the gap between the casting and the rolling rolls, the aluminum melt relies on its surface tension in the gap to prevent it from penetrating into the gap between the nozzle rolls, so that the casting can be carried out. Under certain conditions, the surface tension coefficient of the aluminum melt is constant, so the pressure that the aluminum melt exposed in the gap can withstand is limited. Assuming that the pressure on the surface film of the aluminum melt is ∆P, the pressure exerted on the film by the front box liquid level is:

capacitor foil strip                                                                        (6)

Where H”-the front box liquid level of the inclined casting mill;

H’-the additional height caused by the inclined casting mill being inclined at 15° from the vertical plane.

The additional height is obtained according to the geometric relationship:

XUANSN                                                     (7)

XUANSN                                                                   (8)

Where Z-casting zone length;

P-roller radius;

δ-1/2 of the thickness of the cast strip.

The pressure of the lower surface film of the aluminum melt on the liquid at the nozzle roll gap is:

XUANSN                                                                                            (9)

Obviously, in the normal casting process, the pressure exerted by the front box liquid level on the melt surface film should be equal to the pressure exerted by the surface film on the melt, that is:

XUANSN                                                                         (10)

From this, it can be seen that as the front box liquid level increases, the radius of curvature of the melt surface film decreases. Formula 4 is rearranged to:

XUANSN                                                                             (11)

When Rc→0, H”→∞. Obviously, in the continuous casting of capacitor foil strip, there cannot be no gap between the nozzle rollers, and H” cannot be infinite. When Rc is reduced to 1/2 of the nozzle roller gap, the aluminum melt will penetrate into the nozzle roller gap and leak. Therefore, the principle that the front box liquid level should follow is:

XUANSN

H” can be calculated according to formula 11, formula 8, and formula 7

3 Cooling intensity

After the liquid metal enters the casting and rolling area, it contacts the water-cooled casting and rolling roller sleeve. Its cooling intensity is related to the roller sleeve material, roller core structure, roller sleeve thickness, cooling water temperature and cooling water volume. In production, the sleeve material and core structure have been determined, and the roller sleeve thickness is restricted and can only be changed within a certain range and in a limited amount. The cooling water temperature is affected by the environment and changes very little within a certain period of time. Therefore, most of the heat is taken away by the cooling water. Under certain conditions, the cooling intensity is increased by increasing the cooling water volume, especially in the casting and rolling process of capacitor foil strip. Proper control of the cooling system is crucial to improving production efficiency.

The amount of heat removed from the casting roll by cooling water per unit time is:

XUANSN                                 (12)

where η-casting mill production capacity, t/h;

Ty-temperature of the molten metal flowing out of the feed nozzle, ℃;

Tr-melting point of aluminum, ℃;

Tp-temperature of the cast strip when it leaves the roll gap, ℃;

Cg-specific heat capacity of solid aluminum strip, kJ/(kg·℃);

Cy-specific heat capacity of aluminum liquid, kJ/(kg·℃);

eI-latent heat of crystallization of aluminum, kJ/kg.

The amount of cooling water required to remove heat φ per hour is:

XUANSN                                                              (13)

where Tsr-temperature of cooling water when it enters the casting roll, ℃;

Tsc-temperature of cooling water when it is discharged from the casting roll, ℃;

Cs-specific heat capacity of cooling water, kJ/(kg·℃). The water consumption per minute is:

XUANSN                                                                                      (14)

The water consumption per ton of cast aluminum strip is:

XUANSN                                                                                       (15)

In actual production, generally speaking, the greater the cooling intensity, the faster the casting speed and the higher the productivity; but the cooling intensity is too high, the temperature difference between the inner and outer surfaces of the roller sleeve increases, the thermal stress increases, and the casting force increases, and the service life of the sleeve is shortened; when the vertical plate is large, if the ambient temperature is high and the cooling water temperature is too low, the plate surface is prone to triangular mouth defects. Under normal conditions, the inlet and outlet water temperature difference is controlled between 2~5℃. For the continuous casting and rolling production of capacitor foil strip, reasonable adjustment of cooling water temperature and cooling water volume is an important factor to ensure product quality and equipment life.