1 Calculation of Casting and Rolling Force in Capacitor Manufacturing
1.1 Traditional Algorithm
Casting and rolling is a processing method that combines casting and rolling. It is widely used in metal material forming fields such as capacitor manufacturing. The casting area is closely connected to the rolling area, there is deformation in the casting area, and the temperature in the rolling area varies greatly. The starting rolling temperature is about 660℃ (strictly speaking, it does not bear rolling force at 660℃), and the final rolling temperature is about 350℃. It mainly presents the characteristics of hot deformation, but maintains a certain amount of cold deformation at the end of deformation. Now assume that the rolling conditions in the deformation zone meet the ordinary hot rolling conditions, then the rolling speed is similar to that in hot rolling, and the speed of the casting roller and the deformed metal on the neutral plane is the same. There is relative sliding between the roller and the metal in the front and rear areas of the neutral plane. When considering the existence of widening of the billet, the pressure of the metal on the roller can be approximately calculated using the hot rolling plate formula:
(1)
where k- the deformation resistance of the ingot, MPa;
nσ– the stress state coefficient, which takes into account the influence of external friction and tension on the unit pressure;
nb – the expansion influence coefficient, which takes into account the influence of the expansion of the cast-rolled part on the unit pressure;
Ns – the outer end influence coefficient, which takes into account the influence of the outer end of the rolling zone on the unit pressure.
In the capacitor manufacturing process, the deformation resistance is obtained by the following formula:
(2)
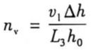
where nv – the deformation speed influence coefficient, which takes into account the influence of the cast-rolled part on the deformation resistance at different deformation speeds;
nh – the work hardening influence Coefficient, considering the influence of work hardening phenomenon caused by deformation on deformation resistance of metal, cast and rolled pieces can be regarded as plane deformation, taking 1~1.15;
σs-yield limit of cast and rolled pieces, MPa.
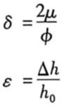
Stress state coefficient nσ. Calculated as follows:
(3)
Where:
![]()
Where ε-relative deformation rate;
∆h-absolute reduction, mm;
h0-thickness of cast and rolled strip before rolling, mm;
μ-friction coefficient between cast and rolled strip and cast and rolled roll:
φ-bite angle.
Outer end influence coefficient When
, take ns=1. Where,
;L3 is the arc length of the deformation zone, mm. The deformation speed influence coefficient nv is made into a table based on the test data, which can be found in the table or calculated by the following formula:
(4)
Where υ1-the exit speed of the cast-rolled billet, m/s.
The work hardening influence coefficient nh is calculated by the following formula:
(5)
Where σs0-the yield limit of the material when the cast-rolled strip enters the deformation zone, MPa:
σs1-the yield limit of the material at the temperature when the cast-rolled strip exits the roll, MPa
By finding the values of the above coefficients, the average unit pressure on the roll can be calculated, that is:
(6)
In capacitor manufacturing, the total casting force of the cast-rolled strip is:
(7)
Where b-cast strip width, mm.
1.2 Modern algorithm
People have found that the rheological properties of continuous casting and rolling are very similar to those of viscous fluids. Therefore, researchers have applied the theory of viscous fluid mechanics to study the force and energy parameters of the casting and rolling process. Through a series of analysis, assumptions, deductions, and calculations, they have obtained an approximate analytical solution for the continuous casting force:
(8)
Where:

Where k-contact surface friction;
K1-casting deformation resistance in the exit area, MPa:
σa-pre-tension stress, MPa.
The modern calculation formula is the same as the traditional calculation formula in form, but the physical concept is different. It will not be introduced in detail here.
2 Calculation of casting and rolling torque
The casting and rolling torque is mainly generated in the crystallization zone and the solid deformation zone, and is composed of the negative torque Mz1 generated by the plastic bending of the solidification cone in the crystallization zone and the casting and rolling torque Mz2 in the solid deformation zone.
The calculation formula of Mz1 is as follows:
(9)
Where L2-crystallization zone length, mm;
h0-casting and rolling belt bad deformation zone entrance side thickness, mm.
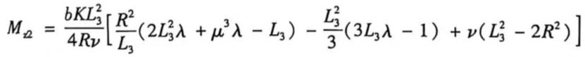
The calculation formula of Mz2 is as follows:
(10)
Where:

In the casting and rolling process of capacitor manufacturing, the no-load torque is mainly calculated based on the mass of the rotating parts and the friction circle radius of the bearing. It is equal to the sum of the torques of all driving parts. The no-load torque after conversion to the motor shaft is:
(11)
Where Gn-load acting on the bearing, equal to the mass of the part, kg;
μn-friction coefficient of the bearing;
in-reduction ratio from the motor to the calculated part;
dn-average friction diameter of the bearing, mm;
ηn transmission efficiency from the motor to the calculated part.
The additional friction torque mainly considers the friction torque caused by the roller bearing and the friction torque caused by the rotating seal. Since the casting roller needs to supply and drain cooling water to the rotating casting roller, a rotary joint is installed. Therefore, during the rotation of the casting roller, the additional friction torque caused by the two sealing rings is:
(12)
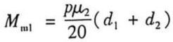
Where P -casting force, kN;
d1,d2 roller neck diameter at the casting roller water supply and drainage point, mm;
μ2-friction coefficient between the roller neck and the sealing ring, which is calculated to be between 0.31 and 0.35. The larger value is taken when the casting roller is new, and the smaller value is taken otherwise.
The casting force is calculated by the following formula:
(13)
Where F-horizontal projection of the contact area of the casting deformation zone, mm2;
K-deformation resistance of the metal on the outlet side, MPa;
R-radius of the casting roller, mm;
h-average thickness,
, mm;
σq-pre-tension stress, MPa.
The friction torque of the casting roller bearing is:
(14)
Where d-bearing diameter at the joint with the casting roller bearing, mm;
μ1-bearing friction coefficient.
In the operation of capacitor manufacturing equipment, the total additional friction torque can be expressed as:
(15)
Where i-transmission system speed ratio;
η-total efficiency of the transmission system.
The total rolling torque is composed of the casting rolling torque Mz, the no-load torque Mk and the friction torque Mm, which can be expressed as follows:
(16)