1 Determination of Casting and Rolling Zone in Production
In production practice, the determination of the length of the capacitor foil casting and rolling zone is extremely important, which is related to the quality of the product, the production efficiency, the service life of the equipment and roller sleeve, etc. The main factors affecting the casting and rolling zone are:
(1) Under normal conditions, the ratio of the rolling zone to the total length of the casting and rolling zone is about
, that is,
. This is consistent with the measured data. According to the above calculation,
, the casting and rolling zone varies with the roller diameter and the amount of reduction. The larger the roller diameter, the greater the reduction, and the larger the casting and rolling zone; the smaller the diameter, the less reduction, and the smaller the casting and rolling zone.
(2) From the perspective of technology, under certain casting and rolling zone conditions, the casting and rolling speed increases without changing the cooling intensity, the casting zone is extended, and the rolling zone is correspondingly reduced, which will destroy the casting and rolling balance. Therefore, the casting and rolling zone should be increased; on the contrary, the casting and rolling speed decreases, and the casting and rolling zone should be reduced (see Figure 1).

Figure 1 Effect of casting speed change on the length of the crystallization zone
(3) From the perspective of the casting and rolling machine, the larger the casting and rolling area, the greater the casting and rolling force and the greater the rolling torque. Excessive casting and rolling force and rolling torque will accelerate the cracking of the casting and rolling roller sleeve, increase the load on the transmission system, and affect the service life of the equipment and sleeve.
(4) From the perspective of production efficiency, the casting and rolling area is small, the casting and rolling speed is slow, the production efficiency is low, and the operation level of the production workers is required to be high. To improve production efficiency, increasing the casting and rolling area is one of the methods, especially when mass-producing capacitor foil.
In production, a certain type of casting and rolling machine corresponds to a certain range of optimal casting and rolling areas. In fact, the size of each casting and rolling area is determined when the casting nozzle is assembled. Of course, if there are certain changes in production conditions, the casting and rolling area can be appropriately adjusted within a certain range during production, but the adjustment range is limited. A casting and rolling area that is too large or too small will affect the casting and rolling quality or production efficiency. Sometimes, in order to solve certain technical problems, regardless of the conditions of the optimal casting and rolling area, the casting and rolling area is blindly made small or large. As a result, one problem is solved, and more problems emerge, which not only affects the quality, but also damages the benefits. According to the relevant manufacturers’ many years of production experience, comprehensive considerations show that the best casting and rolling area for standard casting and rolling mills (casting and rolling diameter of about 650mm) is 40~48mm, and for super casting and rolling mills (casting and rolling diameter of about 960mm) it is 50~65mm, and for diameters greater than 960mm It can be appropriately increased when the temperature is too high. Pure aluminum generally takes the upper limit, and alloys generally take the lower limit. When used to manufacture capacitor foil, it should be determined comprehensively in combination with material properties and final product requirements.
2 Calculation of the proportional relationship between the casting and rolling area and the rolling area
In actual production, in order to ensure product quality, the production process parameters must be appropriately adjusted within a certain range. Therefore, the proportional relationship between the casting and rolling area and the rolling area also changes within a certain range. The range of variation can be obtained by calculation, but whether the calculation result is accurate depends on whether the parameters taken are objective and true. If the parameters are slightly modified, the calculation results will be far different. The best way is to perform actual measurements.
The measurement method is: stop the supply of aluminum liquid under certain process conditions, turn off the main machine, stop casting and rolling, and maintain the status quo in the casting and rolling area. After the remaining liquid is fully solidified, open the roll gap and take out the casting nozzle and slab. Due to the sudden cessation of liquid supply, the metal in the rolling area has been rolled and deformed under the action of the rolling force; while the upper and lower surfaces in the casting area have solidified, but the central metal liquid has not yet solidified, so the casting area basically does not bear the rolling force. After the center metal solidifies, it shrinks. The shrinkage caused by the liquid phase changing to the solid phase is much greater than the shrinkage of the solid phase under cooling conditions, so there is a clear dividing line between the rolling zone and the casting zone. At the end of the rolling zone, that is, the moment when the strip leaves the rolling center line, its deformation degree is the largest. After the rolling zone is cooled in the roll gap, there is also a clear dividing line at the end of the rolling zone. There is an even more obvious boundary when the body flows out of the casting nozzle. The ratio of the rolling zone to the casting zone can be calculated by measuring the length of the rolling zone and the length of the cooling zone + the casting zone, or by subtracting the length of the rolling zone from the length of the casting zone.
3 Casting Temperature for Capacitor Foil Manufacturing
In the production process of plates and strips, especially in the manufacture of high-performance capacitor foil, the surface of the casting roller sleeve is in direct contact with the molten metal and is subjected to high-temperature thermal stress in the casting area. After leaving the casting area, the outer surface is cooled by air and the inner surface is cooled by cooling water. The temperature difference between the inner and outer surfaces is large. In a casting cycle, the temperature of different points in the radial direction is different, and the temperature at different times at the same point is different. Therefore, the casting roller sleeve is always in a state of alternating cold and hot stress.
In order to better extend the service life of the casting roller sleeve, it is necessary to understand the distribution of the roller surface temperature.
3.1 Roller surface temperature calculation
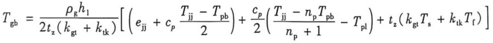
Russian Kuznetsov suggested using the following formula to calculate the roller surface temperature:

Where tz – the time required for the casting roller to rotate one circle, s;
pg – the density of the roller sleeve material, kg/m3,
h1-thickness of the strip, mm;
Tjj-crystallization temperature of the cast strip, °C;
Tpb-surface temperature of the cast strip, °C;
TpI-temperature of the cast strip when it leaves the casting zone, °C;
Ts-temperature of cooling water, °C;
Tf-temperature of cold air, °C;
ejj-latent heat of crystallization of aluminum melt, kJ/kg;
cp-specific heat capacity of the cast strip, kJ/(kg·℃);
np-temperature distribution index in the cast strip;
kgt-heat transfer coefficient of the cast roll sleeve material, kJ/(cm2·h·℃);
ktk – the heat exchange coefficient between the casting roller sleeve and the air, kJ/(cm2·h·℃).
3.2 Casting roller surface temperature distribution
During the casting and rolling production process of capacitor foil strips, the casting roller plays the role of both a crystallizer and a deformation tool. The casting roller is in direct contact with the liquid metal, and there is a high-intensity cooling circulating water between the roller core and the roller sleeve. At the same time, the surface of the casting roller sleeve continuously radiates heat to the surrounding space, so the surface temperature of the casting roller varies greatly. In the casting and rolling production, the actual temperature distribution measured along the circumference is shown in the figure 2.
As shown in Figure 2, when the sleeve contacts the aluminum liquid, the surface temperature of the roller sleeve suddenly rises to the highest, reaching 500℃ (casting and rolling area 50mm, strip thickness 7.5mm) or 450℃ (casting and rolling area 70mm, strip thickness 9.0mm); as the casting and rolling process proceeds, the roller rotates and gradually separates from the casting and rolling strip, and the roller surface temperature gradually decreases. Before rotating to contact with the aluminum liquid again, the temperature drops to the lowest point of 120℃ and 85℃ respectively. The maximum temperature difference of one rotation reaches 365℃ and 380℃. This huge alternating temperature difference is an important reason for the cracking of the roller sleeve.

Figure 2 Temperature distribution of the casting roller sleeve surface
1- Casting zone length L = 70mm, bad belt thickness h1 = 9.0mm; 2- Casting zone length L = 50mm, bad belt thickness h1 = 7.5mm; 3- Casting roller core: 4- Casting silver sleeve
3.3 Determination of casting temperature
In production practice, casting temperature is also an extremely important parameter. High temperature, long crystallization time (see Figure 3), slow casting speed, low production efficiency, prone to sticking plate, horseshoe cracks and other defects; at the same time, the rolling surface temperature changes aggravated, the occurrence of The heat alternating stress generated increases, reducing the service life of the sleeve; the temperature is low, the melt fluidity is poor, which is not conducive to the dissolution and diffusion of the modifier, and it is easy to form defects such as large grains and uneven organization. At the same time, the cold deformation equivalent is increased, the absolute reduction is increased, and the casting force is increased, which has an adverse effect on the performance of the capacitor foil. It is even easy to crystallize and solidify in the casting nozzle (see Figure 4), damaging the casting nozzle.
The casting temperature (front box temperature) of the general pure aluminum series is controlled at about 685~700℃, and the alloy varies depending on its crystallization range. For alloys with a large crystallization range, the casting temperature should be appropriately increased. 5005 alloy is generally 715℃.

Figure 3 Relationship between casting temperature and casting speed

Figure 4 Solidification of the crystallization front in the casting nozzle when the casting temperature is low